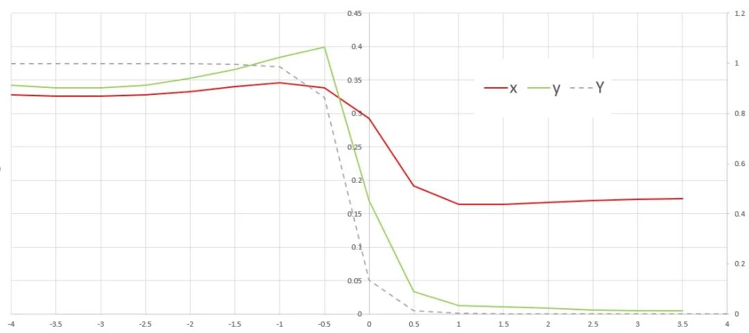
原文:《Color Analysis on the Edges of MLA Projected Pattern》 作者:Yiyu CAO and OSRAM Group 编译:赵晨尧 郭雨欣 指导:林燕丹 汽车光毯可以给用户一种前所未有的现代体验,通过在地面上创造奇特的照度图案是当今的新趋势。用于投影的MLA投影芯片极小,薄到可以安装在汽车底盘下,其通常不需要特殊的消色差方法,仍然能产生没有可见色边的图像。本文介绍了一种MLA投影边缘的颜色分析方法、颜色问题的诊断和该方法的推广应用,便于读者更好地了解MLA投影。 一、MLA投影 想象一下,当你走向你的车时,它逐渐展开它的“翅膀”来迎接你。在你走进车里之前,一块纯光幕地毯铺在你面前,就好像你即将在银河上漫步。这是一个古老而遥远的童话幻想,或者是一种前所未有的现代体验。事实上,产生光毯的MLA投影芯片只有1平方厘米大小,薄到可以安装在汽车底盘下。在实际应用中,光源是完全不可见的。似乎光幕完全是凭空出现的。 MlA是微透镜阵列的缩写。这是一种汽车投影应用的新技术。与传统的投影单元相比,MLA技术具有小型化、明亮化、照度锐利化、稳定性好等特点,尤其适用于浅角度和大面积的投影。 (1)小型化 投影系统通常由以下部分组成: 光源、准直器、聚光器、掩模层和投影透镜。MLA镜头只使用了一块3毫米厚的组件,组成集中器,掩膜层和投影镜头。即使使用较厚的准直器和LED光源,总厚度也可控制在20毫米以下。 (2)明亮的 MLA投影芯片采用了WLO(晶圆级光学)技术。对于WLO来说,与传统的相似尺寸技术相比,由于其多通道阵列设计,它很容易使亮度水平增加几倍。 (3)锐照度 与传统方法不同的是,MLA由于每个微透镜的瞳孔较小,所以它具有超长焦深和锐投影的特点。与传统的大尺寸聚焦镜头相比,具有相同光学结构的MLA可以成比例地减小光行差。对于同样的图像清晰度要求,焦深也可以很长。由于这种大深度的聚焦特性,MLA可以在大范围的聚焦距离中投射出清晰的图案。特别适合于浅角度和大面积的投影。 二、白色MLA投影的应用 由于上述优点,安装在汽车上的MLA投影具有多种可能的应用方向: 如前后转换灯投影、标志灯投影、大气灯投影、吸顶灯投影等,甚至头灯的投影也是可能的。 当然,在目前的车用场景中,最为成熟和广泛使用的,是迎宾轻地毯的应用,特别是白光迎宾轻地毯的使用。 这就引出了一个需要详细阐述的问题,即在白地毯灯投影的应用中如何消除色差。 三、白色投影边缘的颜色分析 (1)白色投影的一般模式 由于白光不是单色光,而是光谱范围很广,所以当白光穿过玻璃或塑料时,通常会有相当大的色散。例如,当一束白光准直到棱镜上时,就会出现一个类似彩虹的光谱。对于波长较短、频率较高的光,折射角较大,对于长波长和低频率的光,折射角会变小。 对于传统的光学成像镜头,为了消除这种色差,通常需要采用消色差设计,将高色散和低色散的玻璃材料结合在一起,以补偿折射差。 白色汽车地毯灯的着色问题一般是关于明亮区域如何转移到暗区域,而中间没有可见的色晕。 (2)白色边缘的颜色分析 将光源的光谱设置为普通的白光LED(发光二极管)光谱,光谱通常由一个蓝色泵浦部分和一个黄色荧光粉部分组成(图1)。对于大多数塑料或玻璃来说,较短波长的光线会被折射到较大的角度,而较长波长的光线会被折射到较小的角度(图2)。 图1 典型白光LED的光谱 图2 典型塑性指数曲线 设波长的折射率为n(λ),n为折射率,λ为波长,折射角为θi,出射角为θo,当很小时,θ≈sin(θ),因此Snell定律sin(θo)= n(λ),sin(θi)可以被定义为: 当光线穿过塑料到空气时,方向将会变为: 假设光学系统对单波长 λc = 555nm 时是理想系统,投影机垂直投射光到屏幕(θg (λc) = 0) ,投影机到地面的距离设置为L,远大于d。当掩模中的一个点在轴上投影到地面时,λc在地面上的位置也在轴上(图3)。在一定的孔径位置d,存在一定的孔径角 θa (d) = d/f。利用λc条件得到下列方程: (注意θa和θi不随λ变化): 图3当λc = 555nm时,光从原点出发在原点结束 让我们仔细看看地面上的黑白边缘特征。对于地面上的位置向量 p,可以分为与边缘平行的分量 h 和垂直于边缘 t 的分量 t,因为边缘特征沿着 h 扩展,所以边缘(t)是边缘渡越区域的关键。 从(3)和(4),我们可以得到θa和θi的关系: 从(5)和(2),我们有: 对于波长 λ,在某个光圈位置d,到原点的投影距离是: 对于某一波长 λ ≠ λc,其投影图案穿过整个孔径,在地面上呈均分布的圆形。形状R的半径是 θa(d)取最大abs值θa max (d) : 图4 位置向量P在地面上,与边缘H平行,垂直于边缘T 让我们仔细看看地面上的黑白边缘特征。对于地面上的位置向量 P,可以分为与边缘平行的分量 H和垂直于边缘的分量T,因为边缘特征沿着H扩展,所以边缘T是边缘渡越区域的关键。 对于假定的理想光学系统,掩模上的中心点,通过光圈,E (λ)在距边缘距离为T的所有位置上的贡献部分是: Spec(λ)是LED光源光谱(图1) 以上是单个波长 λ 的光分布。另一方面,对于单个距离T,我们可以发现许多 λ 的影响,它们对这个距离T形成一个谱。例如:当L = 1000mm,θa max = 9,T = 1mm,它的光谱如下: 图5 T=1mm时的光谱 让我们计算地面上这些点的光谱分布,t = [-4,-3.5,-3,-2.5,-2,-1,5,-1,-0.5,0,0.5,1,1.5,2,2.5,3,3.5,4]。用它们的光谱乘以 Vλ (人类光学灵敏度的明视曲线) ,得到它们的照度水平,看看在距离T处的亮度水平,它们是如下图所示: 图6 掩模侧原点的照度亮度高于T 与遮罩上的黑白边缘一样,地面上的图案将是上述位置光谱与黑白过渡轮廓(沿T方向)的卷积: 图7 黑白轮廓及上述轮廓的卷积 图8 过渡边缘T上方的正常亮度 如果取20% ー80% 的亮度范围,渡越长度小于0.5 mm,即使在10% ー90% 的亮度范围内,渡越长度也小于1 mm。对于这样一个长度的特征变化,假设观察者的眼睛处于1.5米的高度和向下45度的倾斜角度,那么1毫米的长度就是 < 0.03度,要确定这么小的长度是非常困难的。 当所有的 x,y,z 色通道都被计算出来的时候,沿着正常线的颜色分布是: 图9 在过渡边缘T上的 yxy 色坐标 图10是计算和绘制的可视化RGB颜色。从理论上讲,在这个特征的最边缘会出现一次从绿色到紫色的过渡。绿色面积是如此狭窄,它将很容易消除的畸变和公差,因此它将很难看起来在实际应用。 图10 可视化RGB颜色 从边缘到左边明亮的一面,它将是一点点黄色的趋势,然后成为完全白色的颜色的LED源。从边缘到右边的黑暗面,应该是紫色和深蓝色,但很快就会变得太黑,看不到任何颜色。 四、结论 MLA作为新型投影照明解决方案的一部分,生产的车用地毯灯投影具有小型化、高亮度、高清晰度和高可靠性等显著优点。通过理论计算,一般使用时,特征边缘的颜色变化不明显。 文章转自 微信公众号 IFAL
【技术文章】MLA投影图案边缘的颜色分析
于 2021-11-28 19:39:46 发布
2486 阅读
0 评论
0 点赞




发表评论 取消回复